
2021-10-30 浏览人数: 新闻来源: 江特
水管的规格是一个看似比较简单的问题,但并不是所有人都能说清楚。因为水管行业有不同类型的管道,各种管道的特性不一样,所以描述它们的规格参数的含义也有差别。PPR水管的规格参数主要是管径规格和壁厚这两个参数,那么就具体来说一下。
1.管径规格
首先讲清楚三个概念,管道公称外径Φ,公称直径DN,和英制单位。

管道的公称外径就是管道的外径,常用小写的dn标示,也就是标注在管道上的Φ后面的数字。
公称直径DN是管道的平均外径,它一般是一个圆整数,是一个参考数值,和实际管道尺寸存在差别的。
英制单位指的就是人们常说的4分管、6分管以及1寸管。
公称直径源自金属管道的壁厚一般比较薄,所以外径和内径的平均直径几乎等于外径,既DN=Φ。但对于PPR管,由于壁厚较厚,公称外径DN跟水管实际外径差异还是比较大的,所以需要区别开来。
PPR水管中,英制单位、公称直径、实际外径之间有如下关系:

在家装管道中,PPR水管常用的外径规格是20mm,25mm和32mm。
2.管系列:S
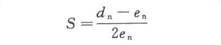
对于PPR管材的壁厚属性,有两个参数,管系列S就是其中一个。
从定义上来说,管系列S是与公称外径和公称壁厚有关的无量纲数,用于指导管材规格的选用。它是计算后获得的一组圆整数。

dn——管公称外径,单位为mm;
en——PPR公称壁厚,单位为mm;
在GB/T 18742.2-2017《冷热水用聚丙烯管道系统 第2部分:管材》中,对于管系列S的具体规格参数有如下规定,见下表:

管材管系列和规格尺寸(单位:毫米)
当PPR管的公称外径一定时,管系列S越大,则水管的壁厚越薄,管系列S越小,则水管的壁厚越厚。
3.标准尺寸比:SDR
标准尺寸比是PPR管材与壁厚相关的另一个参数,PPR管材按标准尺寸比SDR值分为SDR11、SDR9、SDR7.4、SDR6、SDR5五个系列。

标准尺寸比SDR是PPR管材公称外径与公称壁厚的比值。SDR与PPR管系列S的关系是:SDR=2S+1。
与管系列相同,当PPR管的公称外径一定是,标准尺寸比SDR越大,则水管的壁厚越薄,标准尺寸比SDR越小,则水管的壁厚越厚。4.PPR管件的规格
PPR管件的公称外径dn,与同其相连的PPR管材的公称外径始终保持一致,并常常标注在PPR管件上。

PPR管件的壁厚应不小于相同PPR管系列S的PPR管材的壁厚。大部分企业PPR管件都只有最高标准S2一个系列,是冷热水全部适用的。
对于带螺纹的管件,也就是丝口件,螺纹的规格常用的是两种,1/2和3/4,也就是4分和6分的区别,对应的螺纹的公称直径分别是15mm和20mm。
5.案例解读

这根水管公称外径25mm,公称壁厚4.2mm,标准尺寸比为SDR6,对应的管系列就是S2.5系列。

45°弯头
这个45°弯头的公称外径是25mm,也就是接公称外径为25mm的管子。
这个内丝直接的丝口处标的是1/2,也就是说接的外丝的公称直径是15mm。
看了这篇文章的介绍和上面的三个案例,相信大家对PPR管的规格一定有了更深的了解,希望这篇文章对大家能有所帮助。